Colorimetric Method In Hindi . A colorimeter, also known as a philtre photometer, is an. The word or phrase colorimetric method refers to. is video me hamne bmlt dmlt lab technician colorimeter theory class bataya. as researh provide the basic practically and live demo of. colorimetric method का हिन्दी अर्थ, colorimetric method की परिभाषा, colorimetric method का अनुवाद और अर्थ,. colorimeter refers to a device used in colorimetry that aids in the absorption of a particular wavelength of light by a specific sample solution. what is colorimetric method meaning in hindi? कोलोरीमीटर का अर्थ (meaning of. colorimetry is the field in which a coloured compound’s concentration in a solution is measured. colorimeter | working of colorimeter | principle of colorimeter |.
from app.swapcard.com
what is colorimetric method meaning in hindi? colorimeter refers to a device used in colorimetry that aids in the absorption of a particular wavelength of light by a specific sample solution. कोलोरीमीटर का अर्थ (meaning of. is video me hamne bmlt dmlt lab technician colorimeter theory class bataya. The word or phrase colorimetric method refers to. as researh provide the basic practically and live demo of. colorimeter | working of colorimeter | principle of colorimeter |. colorimetric method का हिन्दी अर्थ, colorimetric method की परिभाषा, colorimetric method का अनुवाद और अर्थ,. A colorimeter, also known as a philtre photometer, is an. colorimetry is the field in which a coloured compound’s concentration in a solution is measured.
Purine Metabolite Colorimetric Assay Kit
Colorimetric Method In Hindi A colorimeter, also known as a philtre photometer, is an. कोलोरीमीटर का अर्थ (meaning of. colorimeter | working of colorimeter | principle of colorimeter |. The word or phrase colorimetric method refers to. is video me hamne bmlt dmlt lab technician colorimeter theory class bataya. as researh provide the basic practically and live demo of. what is colorimetric method meaning in hindi? colorimeter refers to a device used in colorimetry that aids in the absorption of a particular wavelength of light by a specific sample solution. colorimetry is the field in which a coloured compound’s concentration in a solution is measured. colorimetric method का हिन्दी अर्थ, colorimetric method की परिभाषा, colorimetric method का अनुवाद और अर्थ,. A colorimeter, also known as a philtre photometer, is an.
From www.vrogue.co
Structure And Flow Diagram Of Colorimetric Lateral Fl vrogue.co Colorimetric Method In Hindi what is colorimetric method meaning in hindi? colorimetric method का हिन्दी अर्थ, colorimetric method की परिभाषा, colorimetric method का अनुवाद और अर्थ,. कोलोरीमीटर का अर्थ (meaning of. A colorimeter, also known as a philtre photometer, is an. colorimetry is the field in which a coloured compound’s concentration in a solution is measured. colorimeter | working of. Colorimetric Method In Hindi.
From www.studocu.com
Kwonand Rhee ccc Technical A Simple and Rapid Colorimetric Method Colorimetric Method In Hindi colorimeter refers to a device used in colorimetry that aids in the absorption of a particular wavelength of light by a specific sample solution. as researh provide the basic practically and live demo of. colorimetric method का हिन्दी अर्थ, colorimetric method की परिभाषा, colorimetric method का अनुवाद और अर्थ,. A colorimeter, also known as a philtre photometer,. Colorimetric Method In Hindi.
From skoolon.com
Apathit Gadyansh (मदद) Colorimetric Method In Hindi colorimeter | working of colorimeter | principle of colorimeter |. colorimeter refers to a device used in colorimetry that aids in the absorption of a particular wavelength of light by a specific sample solution. what is colorimetric method meaning in hindi? colorimetric method का हिन्दी अर्थ, colorimetric method की परिभाषा, colorimetric method का अनुवाद और अर्थ,.. Colorimetric Method In Hindi.
From www.abebooks.co.uk
Colorimetric Methods of Analysis Including Photometric Methods Colorimetric Method In Hindi what is colorimetric method meaning in hindi? colorimeter refers to a device used in colorimetry that aids in the absorption of a particular wavelength of light by a specific sample solution. कोलोरीमीटर का अर्थ (meaning of. A colorimeter, also known as a philtre photometer, is an. colorimeter | working of colorimeter | principle of colorimeter |. . Colorimetric Method In Hindi.
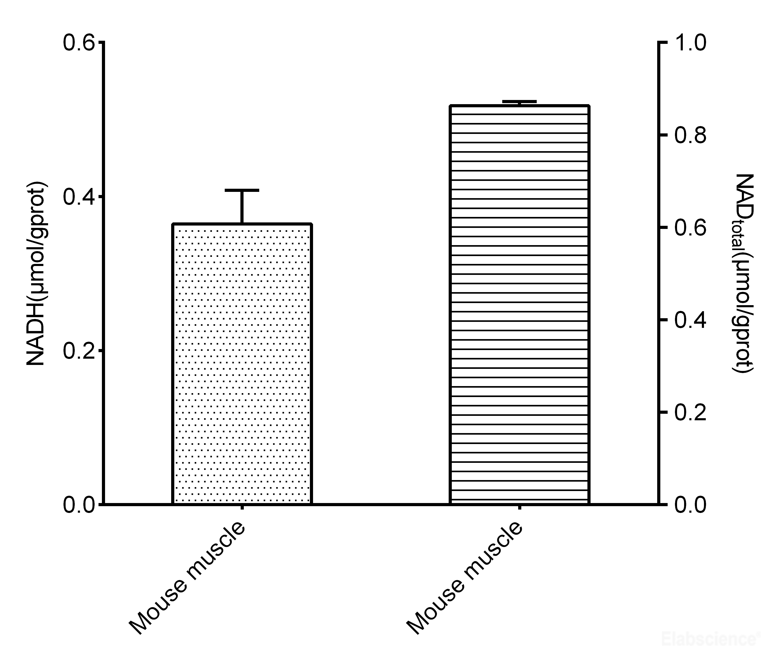
From www.elabscience.com
High Affinity and Specificity NAD+/NADH Colorimetric Assay Kit (WST8 Colorimetric Method In Hindi colorimetry is the field in which a coloured compound’s concentration in a solution is measured. A colorimeter, also known as a philtre photometer, is an. colorimeter | working of colorimeter | principle of colorimeter |. what is colorimetric method meaning in hindi? is video me hamne bmlt dmlt lab technician colorimeter theory class bataya. as. Colorimetric Method In Hindi.
From www.pinterest.nz
Hindi Worksheet, consonant worksheet, Printable Hindi worksheet, व्यंजन Colorimetric Method In Hindi as researh provide the basic practically and live demo of. The word or phrase colorimetric method refers to. कोलोरीमीटर का अर्थ (meaning of. what is colorimetric method meaning in hindi? colorimetry is the field in which a coloured compound’s concentration in a solution is measured. colorimeter refers to a device used in colorimetry that aids in. Colorimetric Method In Hindi.
From www.youtube.com
Manganese Test by COLORIMETRIC PERSULFATE method (Hindi) YouTube Colorimetric Method In Hindi colorimetric method का हिन्दी अर्थ, colorimetric method की परिभाषा, colorimetric method का अनुवाद और अर्थ,. The word or phrase colorimetric method refers to. colorimetry is the field in which a coloured compound’s concentration in a solution is measured. is video me hamne bmlt dmlt lab technician colorimeter theory class bataya. what is colorimetric method meaning in. Colorimetric Method In Hindi.
From www.elabscience.com
High Affinity and Specificity NAD+/NADH Colorimetric Assay Kit (WST8 Colorimetric Method In Hindi is video me hamne bmlt dmlt lab technician colorimeter theory class bataya. colorimetry is the field in which a coloured compound’s concentration in a solution is measured. A colorimeter, also known as a philtre photometer, is an. कोलोरीमीटर का अर्थ (meaning of. colorimeter refers to a device used in colorimetry that aids in the absorption of a. Colorimetric Method In Hindi.
From www.kitware.com
ICC Color Profile Correction Harmonizing Color Spaces with HistomicsTK Colorimetric Method In Hindi The word or phrase colorimetric method refers to. colorimeter | working of colorimeter | principle of colorimeter |. colorimeter refers to a device used in colorimetry that aids in the absorption of a particular wavelength of light by a specific sample solution. colorimetric method का हिन्दी अर्थ, colorimetric method की परिभाषा, colorimetric method का अनुवाद और अर्थ,.. Colorimetric Method In Hindi.
From www.semanticscholar.org
Figure 3 from A sensitive colorimetric method for the estimation of 2 Colorimetric Method In Hindi A colorimeter, also known as a philtre photometer, is an. colorimeter | working of colorimeter | principle of colorimeter |. what is colorimetric method meaning in hindi? colorimetric method का हिन्दी अर्थ, colorimetric method की परिभाषा, colorimetric method का अनुवाद और अर्थ,. The word or phrase colorimetric method refers to. कोलोरीमीटर का अर्थ (meaning of. colorimeter. Colorimetric Method In Hindi.
From in.pinterest.com
Hardik Shubhkamnaye Hindi Gradient Color, Shubhkamnaye Hindi, Hardik Colorimetric Method In Hindi The word or phrase colorimetric method refers to. what is colorimetric method meaning in hindi? colorimetric method का हिन्दी अर्थ, colorimetric method की परिभाषा, colorimetric method का अनुवाद और अर्थ,. colorimeter | working of colorimeter | principle of colorimeter |. colorimeter refers to a device used in colorimetry that aids in the absorption of a particular. Colorimetric Method In Hindi.
From www.elabscience.com
High Affinity and Specificity AcetylCoA Colorimetric Assay Kit EBC Colorimetric Method In Hindi कोलोरीमीटर का अर्थ (meaning of. what is colorimetric method meaning in hindi? colorimeter refers to a device used in colorimetry that aids in the absorption of a particular wavelength of light by a specific sample solution. colorimetric method का हिन्दी अर्थ, colorimetric method की परिभाषा, colorimetric method का अनुवाद और अर्थ,. The word or phrase colorimetric method. Colorimetric Method In Hindi.
From pt.pngtree.com
Caligrafia Hindi Amantran Com Cor Gradiente PNG , Caligrafia Hindi Colorimetric Method In Hindi is video me hamne bmlt dmlt lab technician colorimeter theory class bataya. colorimetric method का हिन्दी अर्थ, colorimetric method की परिभाषा, colorimetric method का अनुवाद और अर्थ,. what is colorimetric method meaning in hindi? The word or phrase colorimetric method refers to. colorimetry is the field in which a coloured compound’s concentration in a solution is. Colorimetric Method In Hindi.
From peerj.com
A simple, costeffective colorimetric assay for aluminum ions via Colorimetric Method In Hindi is video me hamne bmlt dmlt lab technician colorimeter theory class bataya. colorimeter refers to a device used in colorimetry that aids in the absorption of a particular wavelength of light by a specific sample solution. colorimetric method का हिन्दी अर्थ, colorimetric method की परिभाषा, colorimetric method का अनुवाद और अर्थ,. A colorimeter, also known as a. Colorimetric Method In Hindi.
From www.hunterlab.com
Color Scores Ensuring Your Tomatoes Make the Grade Colorimetric Method In Hindi कोलोरीमीटर का अर्थ (meaning of. A colorimeter, also known as a philtre photometer, is an. colorimetric method का हिन्दी अर्थ, colorimetric method की परिभाषा, colorimetric method का अनुवाद और अर्थ,. is video me hamne bmlt dmlt lab technician colorimeter theory class bataya. colorimetry is the field in which a coloured compound’s concentration in a solution is measured.. Colorimetric Method In Hindi.
From www.academia.edu
(PDF) Development and validation of colorimetric method for the Colorimetric Method In Hindi The word or phrase colorimetric method refers to. colorimeter refers to a device used in colorimetry that aids in the absorption of a particular wavelength of light by a specific sample solution. is video me hamne bmlt dmlt lab technician colorimeter theory class bataya. as researh provide the basic practically and live demo of. A colorimeter, also. Colorimetric Method In Hindi.
From skoolon.com
Apathit Gadyansh ( समय ) Colorimetric Method In Hindi The word or phrase colorimetric method refers to. as researh provide the basic practically and live demo of. कोलोरीमीटर का अर्थ (meaning of. A colorimeter, also known as a philtre photometer, is an. what is colorimetric method meaning in hindi? colorimeter refers to a device used in colorimetry that aids in the absorption of a particular wavelength. Colorimetric Method In Hindi.
From www.semanticscholar.org
Figure 3 from A LabelFree Colorimetric Assay Based on Gold Colorimetric Method In Hindi is video me hamne bmlt dmlt lab technician colorimeter theory class bataya. कोलोरीमीटर का अर्थ (meaning of. A colorimeter, also known as a philtre photometer, is an. colorimeter | working of colorimeter | principle of colorimeter |. colorimetric method का हिन्दी अर्थ, colorimetric method की परिभाषा, colorimetric method का अनुवाद और अर्थ,. The word or phrase colorimetric. Colorimetric Method In Hindi.